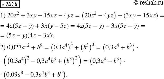
Упр.24.34 ГДЗ Мерзляк Поляков 7 класс (Алгебра)
Решение #1

Рассмотрим вариант решения задания из учебника Мерзляк, Поляков 7 класс, Вентана-Граф:
24.34. Разложите на множители выражение:
1) 20z^2+3xy-15xz-4yz; 2) 0,027a^12+b^9.
*размещая тексты в комментариях ниже, вы автоматически соглашаетесь с пользовательским соглашением