Упр.385 ГДЗ Никольский Потапов 7 класс (Алгебра)
Решение #1

Рассмотрим вариант решения задания из учебника Никольский, Потапов 7 класс, Просвещение:
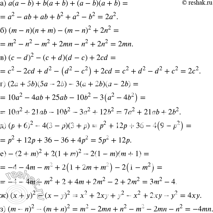
385. Упростите выражение:
а) а (а - b) + b(а + b) + (а - b) (а + b);
б) (m - n)(n + m) — (m - n)2 + 2n2;
в) (с - d)2 - (с + d)(d - с) + 2cd;
г) (2а + 5b) (5а - 2b) - 3(а + 2b) (а - 2b);
д) (р + 6)2 - 4 (3 - р) (3 + р);
е) -(2 + m)2 + 2(1 + m)2 - 2(1 - m)(m + 1);
ж) (х + у)2 - (х - у)2;
з) (m - n)2 - (m + n)2.
*размещая тексты в комментариях ниже, вы автоматически соглашаетесь с пользовательским соглашением