Упр.39.8 ГДЗ Мерзляк Поляков 7 класс (Алгебра)
Решение #1

Рассмотрим вариант решения задания из учебника Мерзляк, Поляков 7 класс, Вентана-Граф:
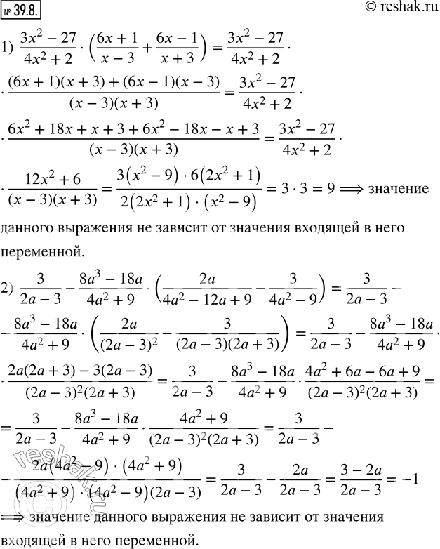
39.8. Докажите, что значение выражения не зависит от значения входящей в него переменной:
1) (3x^2-27)/(4x^2+2)·((6x+1)/(x-3)+(6x-1)/(x+3));
2) 3/(2a-3)-(8a^3-18a)/(4a^2+9)·(2a/(4a^2-12a+9)-3/(4a^2-9)).
*размещая тексты в комментариях ниже, вы автоматически соглашаетесь с пользовательским соглашением