Упр.8.11 ГДЗ Мерзляк Поляков 7 класс (Алгебра)
Решение #1

Рассмотрим вариант решения задания из учебника Мерзляк, Поляков 7 класс, Вентана-Граф:
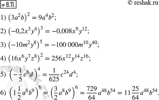
8.11. Преобразуйте в одночлен стандартного вида выражение:
1) (3a^2 b)^2;
2) (-0,2x^3 y^4 )^3;
3) (-10m^2 y^8 )^5;
4) (16x^6 y^7 z^8 )^2;
5) (-1/5 c^6 d)^4;
6) (1 1/2 a^8 b^9 )^6.
*размещая тексты в комментариях ниже, вы автоматически соглашаетесь с пользовательским соглашением